汽車三角臂專用
油壓機液壓泵的基本性能參數主要是指液壓泵的壓力、排量、流量、功率和效率等。
工作壓力:指泵、馬達實際工作時的壓力,對泵來說,工作壓力是指它的輸出壓力;對馬達來講,則是指它的輸入壓力。實際工作壓力取決于相應的外負載。
汽車三角臂專用油壓機加工生產車間
額定壓力:泵、馬達在額定工況條件下按試驗標準規定的連續運轉的最高壓力,超過此值就是過載。
排量:泵、馬達的軸每轉一周,由其密封容腔幾何體積變化所排出、吸入液體的體積,亦即在無泄漏的情況下,其軸轉動一周時油液體積的有效變化量。
理論流量:在單位時間內由其密封容腔幾何體積變化而排出、吸入的液體體積。泵、馬達的流量為其轉速與排量的乘積。
額定流量:指在正常工作條件下,按試驗標準規定必須保證的流量,亦即在額定轉速和額定壓力下泵輸出的流量。因為泵和馬達存在內泄漏,油液具有壓縮性,所以額定流量和理論流量是不同的。
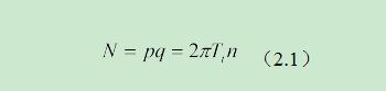
功率和效率:液壓泵由原動機驅動,輸入量是轉矩和轉速,輸出量是液體的壓力和流量;如果不考慮汽車三角臂專用油壓機液壓泵、馬達在能量轉換過程中的損失,則輸出功率等于輸入功率,也就是它們的理論功率是:
式中:,—液壓泵、馬達的理論轉矩(N.m)和轉速(r/min)。
—液壓泵、馬達的壓力(Pa)和流量()
實際上,汽車三角臂專用油壓機液壓泵和液壓馬達在能量轉換過程中是有損失的,因此輸出功率小于輸入功率。兩者之間的差值即為功率損失,功率損失可以分為容積損失和機械損失兩部分。
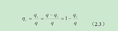
容積損失是因泄漏、氣穴和油液在高壓下壓縮等造成的流量損失,對液壓泵來說,輸出壓力增大時,泵實際輸出的流量減小。設泵的流量損失為,則。而泵的容積損失可用容積效率來表征
對液壓馬達來說,輸入液壓馬達的實際流量必然大于它的理論流量即,它的容積效率。
機械損失是指因摩擦而造成的轉矩上的損失。對汽車三角臂專用油壓機液壓泵來說,泵的驅動轉矩總是大于其理論上需要的驅動轉矩,設轉矩損失為,理論轉矩為,
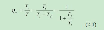
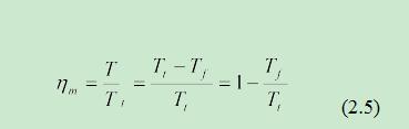
則泵實際輸入轉矩為,用機械效率來表征泵的機械損失,則對于液壓馬達來說,由于摩擦損失的存在,其實際輸出轉矩小于理論轉矩,它的機械效率為液壓泵的總效率是其輸出功率和輸入功率之比,由式(2.1),式(2.2),可得液壓馬達的總效率同樣也是其輸出功率和輸入功率之比,可由式(2.1)、式(2.3)、式(2.5)得到與式(2.6)相同的表達式。這就是說,液壓泵或液壓馬達的總效率都等于各自容積效率和機械效率的乘積。
事實上,汽車三角臂專用油壓機液壓泵、馬達的容積效率和機械效率在總體上與油液的泄漏和摩擦副的摩擦損失有關,而泄漏及摩擦損失則與泵、馬達的工作壓力、油液粘度、泵和馬達轉速有關,為了更確切的表達效率與這些原始參數之間的關系,以無因次壓力為變量來表示液壓泵、馬達的效率。圖2.2給出了汽車三角臂專用油壓機液壓泵、馬達無因次壓力與效率之間的關系,其中:分別為油液的密度和運動粘度,其余符號意義同前,由圖可見,在不同的無因次壓力下,
四柱油壓機液壓泵和馬達的這些參數值相似但不相同,而在不同的轉速和粘度下,液壓泵和液壓馬達的效率值也不同的,可見液壓泵、馬達的使用轉速、工作壓力和傳動介質均會影響使用效率。

液壓泵 馬達
圖2.2 液壓泵、馬達的特性曲線
本文由:汽車三角臂專用油壓機 www.ccccccs.com 搜集整理